
A Universidade Federal do Acre (UFAC) divulgou na noite de desta segunda-feira, 27, a lista de aprovados em terceira chamada para os cursos de graduação para ingresso no primeiro semestre de 2024. Entretanto, segundo informação repassada ao ac24horas pelo cidadão Albert França Josuá Costa, que é tio de um estudante que prestou a prova, essa lista contém inúmeros erros.
Entre os exemplos citados por Albert de erros contidos nesta terceira lista estão a exclusão do curso de música e a ausência da convocação de candidatos para preenchimento de vagas não preenchidas por candidatos ausentes da segunda chamada.
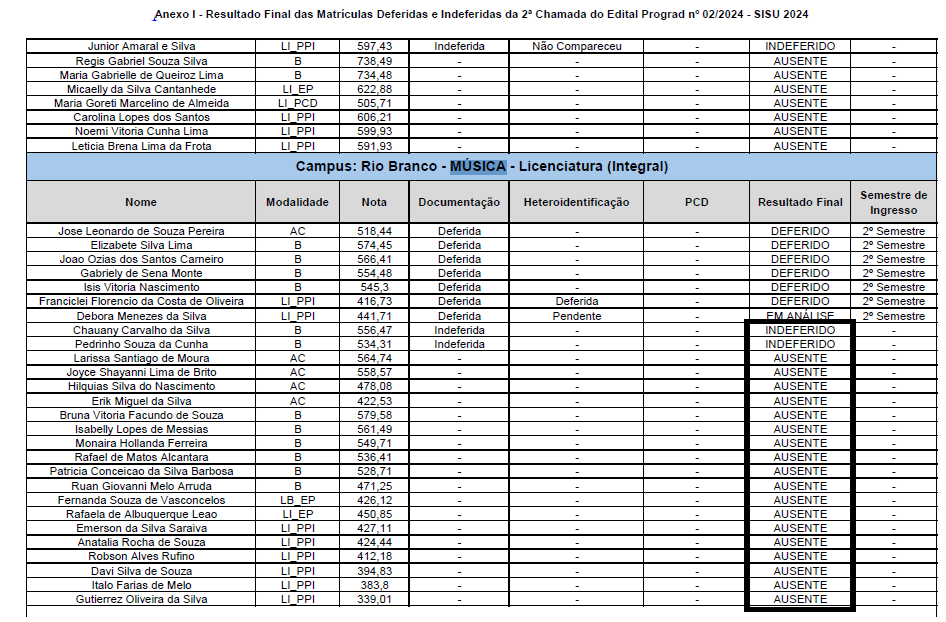
Na lista do curso de música, há duas matrículas indeferidas e 18 candidatos ausentes. Na segunda chamada, a UFAC não preencheu 20 (2 + 18), o que indica que deveria haver 20 candidatos convocados da lista de espera na terceira chamada. No entanto, o curso de música sequer aparece na listagem.
De acordo com as informações, outro erro que se repete de forma pulverizada por todos os cursos na convocação em terceira chamada é a não convocação dos candidatos de lista de espera para preencherem as vagas não preenchidas pelos candidatos que não realizaram a matrícula em segunda chamada.
Exemplo disso é o curso de medicina veterinária. No Resultado Final das Matrículas Deferidas e Indeferidas da 2ª Chamada do Edital Prograd nº 02/2024 – SISU há 4 vagas não preenchidas por indeferimento da matrícula e 7 vagas não preenchidas por ausência na matrícula do candidato aprovado em segunda chamada.
As 4 vagas por indeferimento estão distribuídas, assim: 4 vagas para a modalidade LB PPI. As 7 vagas por ausência estão distribuídas, conforme: 2 vagas para a modalidade B; 1 vaga para a modalidade LI_EP; 1 vaga para a modalidade LI_PCD e 3 vagas para a modalidade LI_PPI.
“A primeira observação a ser feita é que há 11 vagas não preenchidas na segunda chamada e a segunda realizou a convocação somente de 9 vagas, deixando duas vagas ociosas e fatalmente irregularmente impedindo o acesso à educação a dois cidadãos com direito legítimo a vaga”, diz Albert.
“Observa-se que a UFAC simplesmente “sumiu” com as vagas destinadas aos alunos da modalidade B. Esse erro está presente em todos os cursos. Solicito auxílio para divulgação, pois há um número considerável de jovens cidadãos prejudicados pelo erro cometido pela UFAC e o atual estado de greve das Universidades impede até mesmo a comunicação com a Universidade”, conclui o reclamante.
A reportagem tentou manter contato com a Pró-Reitoria de Graduação da Ufac (Prograd), mas não obteve retorno até o fechamento desta publicação. Contudo, no fim da manhã desta terça-feira, 28, foi publicado comunicado da Prograd suspendendo as matrículas institucionais em razão de “problemas técnicos” no sistema UFAC SISU até que os problemas sejam resolvidos.
- Fonte: AC24horas.





