Close Menu
  • Inicio
  • Últimas Notícias
  • Acre
  • Polícia
  • Política
  • Esporte
  • Cotidiano
  • Geral
  • Brasil
Facebook X (Twitter) Instagram WhatsApp
Últimas
  • NC Sports estreia segunda-feira (16) na TV Norte SBT Acre
  • Prefeito assina convênio que garante funcionamento dos correios e Porto Walter terá primeiro CEL do Acre
  • Possível vítima de homicídio: restos mortais de homem desaparecido são encontrados em área de mata
  • Operação prende três em Cruzeiro do Sul; entre eles, foragido e liderança de facção criminosa
  • “Frente” do Comando Vermelho no Miritizal é preso pela polícia em Cruzeiro do Sul
  • Foragido do presídio Manoel Neri da Silva é recapturado em Cruzeiro do Sul
  • Alta da gasolina impacta trabalho de motoboys em Cruzeiro do Sul
  • Presidente assina decreto com multas de até R$ 50 mil para maus-tratos a animais
  • Mulher é atacada com faca e tem cabelos cortados por ex após discussão
  • Aos 12 anos, estudante viraliza ao iniciar preparação para o Enem
Facebook X (Twitter) Instagram
O Juruá Em TempoO Juruá Em Tempo
sexta-feira, março 13
  • Inicio
  • Últimas Notícias
  • Acre
  • Polícia
  • Política
  • Esporte
  • Cotidiano
  • Geral
  • Brasil
O Juruá Em TempoO Juruá Em Tempo
Home»COTIDIANO

Sine oferta 196 vagas de emprego nesta segunda-feira (9); confira

Por Redação Juruá em Tempo.9 de setembro de 2024
Compartilhar
Facebook Twitter WhatsApp LinkedIn Email

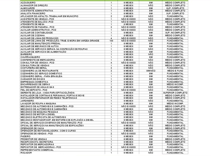
O Sistema Nacional de Emprego do Acre (Sine) está disponibilizando 196 vagas de emprego nesta segunda-feira, 9, para candidatos com níveis fundamental e médio. As oportunidades incluem vagas para pessoas com deficiência.

Para se candidatar, é necessário atualizar o cadastro no Sine. Se ainda não possuir cadastro na instituição, é preciso apresentar os seguintes documentos: Carteira de Trabalho, Identidade/CPF, Título de Eleitor, comprovante de escolaridade e comprovante de endereço. As vagas disponíveis variam desde assistente administrativa e operador de caixa.

O Sine, órgão do Governo Federal, está encaminhando até cinco candidatos para cada vaga à empresa contratante, permitindo que o empregador escolha o candidato mais adequado para preencher a posição.

O atendimento está sendo realizado exclusivamente por telefone. Os interessados podem entrar em contato pelos números: (68) 3223-6502, 3224-5094, 3224-1519 ou pelo 0800 647-8182.

Por: Redação O Juruá em Tempo.
Facebook X (Twitter) Pinterest Vimeo WhatsApp TikTok Instagram

Sobre

  • Diretora: Midiã de Sá Martins
  • Editor Chefe: Uilian Richard Silva Oliveira

Contato

  • [email protected]

Categorias

  • Polícia
© 2026 Jurua em Tempo. Designed by TupaHost.
Facebook X (Twitter) Pinterest Vimeo WhatsApp TikTok Instagram

Digite acima e pressione Enter para pesquisar. Pressione Esc cancelar.